
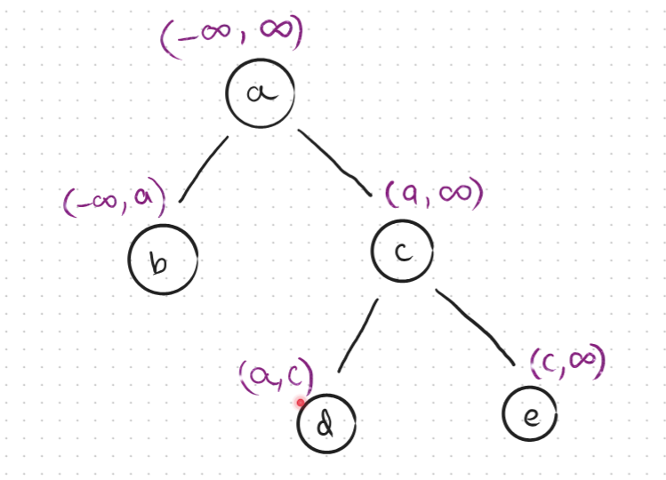
def isValidBST(root):
mn = -10000000000
mx = 10000000000
def isPossible(root, minimum, maximum):
if root is None:
return True
if minimum < root.val and root.val < maximum:
return isPossible(root.left, minimum, root.val) and isPossible(root.right, root.val, maximum)
else:
return False
return isPossible(root, mn, mx)